Российская Академия Наук
Сибирское Отделение
 
 Главная
 История
 Дирекция
 Лаборатории
 Службы
 Конференции
 Отчеты института
 Научные достижения
 Проекты РНФ
 Публикации
 Результаты интеллектуальной деятельности (РИД)
 СМИ об институте
 Ресурсы библиотеки
 Научный стационар
 Диссертационный совет
 Профсоюзная организация
 Совет молодых ученых
 Охрана труда
 Семинары
 Соленые озера (ISSLR)
 Коллекция светящихся микроорганизмов
 Научно-исследовательский комплекс "Замкнутые экосистемы"
 Вакансии
 Документы для скачивания
 Поиск по сайту
 Контакты

Top.Mail.Ru



 

Результаты работы института в 2006 г.

В 2006 году Институт биофизики СО РАН выполнял НИР по следующим основным направлениям фундаментальных исследований РАН:

  • 5.1. Структура и функции биологических макромолекул и макромолекулярных комплексов. Биокатализ.

  • 5.10. Биохимия и физиология микрорганизмов и грибов. Использование микрогранизмов и грибов в биотехнологии.

  • 5.11. Биохимия и физиология растений. Механизмы роста, адаптации и взаимодействия с другими организмами. Фотобиотехнология.

  • 5.20. Организация и биосферные функции природных экосистем - лесных, морских, пресноводных и других. Динамика и механизмы устойчивости сообществ.

  • 5.24. Воздействие факторов внешей среды на биологические системы. Радиобиология.

  • 5.27. Оценка состояния и проблемы сохранения биоразнообразия. Мониторинг.

  • 5.28. Научные основы рационального использования и воспроизводства биологических ресурсов.

  • 5.30. Математические модели в биологии. Биоинформатика.

В 2006 году продолжались исследования, запланированные на период с 2002 по 2006 гг., в рамках научного направления "Биофизика и биотехнология живых систем, включая замкнутые искусственные и природные экологические системы, моделирование и прогноз их состояния" по пяти бюджетным проектам НИР Института на период 2004-2006 гг. зарегистрированым во ВНТИЦентре с присвоением шифров государственной регистрации:

  • Механизмы катализа в биолюминесцентных реакциях четырех типов светящихся организмов (бактерии, кишечнополостные, черви, светляки): общие закономерности и различия. Рег. номер 0120.0 404600

  • Исследование структурнофункциональной организации клеточной системы синтеза биополимеров полигидроксиалканоатов (ПГА) для контролируемого синтеза новых материалов и получения конструкций и препаратов медицинского назначения нового поколения. Рег. номер 0120.0 404601

  • Особенности миграции биологически активных веществ и элементов природного и антропогенного происхождения в трофической цепи "продуцент - консумент" в водных экосистемах бассейна Енисея (на примере жирных кислот, серы и америция-241) Рег. номер 0120.0 404602

  • Биотехнология рационального использования природных ресурсов: исследование структурно-функциональной организации и динамики микробных популяций, окисляющих моно- и дисульфиды восстановленных руд, содержащих благородные металлы. Рег. номер 0120.0 404603

  • Оценка пределов устойчивости биосферы с помощью минимальных теоретических и экспериментальных моделей, согласованных с данными глобальных наблюдений, включая спутниковые. Рег. номер 0120.0 404599

В рамках утвержденных планов НИР по проблемам биофизики экосистем и физико-химической биологии получены следующие важнейшие результаты:

По проекту "Механизмы катализа в биолюминесцентных реакциях четырех типов светящихся организмов (бактерии, кишечнополостные, черви, светляки): общие закономерности и различия". Рег. номер 0120.0 404600

С разрешением 1.93 ? определена кристаллическая структура Са2+-разряженного фотопротеина обелина, связанного с продуктом биолюминесцентной реакции, целентерамидом, и ионами кальция. Предложен механизм образования первичного возбужденного состояния эмиттера в виде нейтральной формы целентерамида, объясняющий наблюдаемые спектры биолюминесценции.

С разрешением 1.93 ? определена кристаллическая структура Са2+-разряженного фотопротеина обелина, связанного с продуктом биолюминесцентной реакции, целентерамидом, и ионами кальция (Рис. 1). Показано, что в структуре активного центра обелина (Рис. 2) лишь только два аминокислотных остатка значительно изменяют свою позицию. Имидазольное кольцо His175 становится перпендикулярным первоначальной своей ориентации, подтверждая важность данного остатка в инициации реакции, а Tyr138, ОН-группа которого формирует водородную связь с N1-атомом целентеразина в обелине, уходит из активного центра фотопротеина. На месте гидроксильной группы Tyr138 обнаружена молекула воды, которая формирует водородную связь с тем же атомом азота. На основании структуры Са2+-разряженного обелина предложен механизм образования первичного возбужденного состояния эмиттера в виде нейтральной формы целентерамида, объясняющий наблюдаемые спектры биолюминесценции.
Структура Са2+-разряженного обелина

Рис. 1. Структура Са2+-разряженного обелина. Молекула целентерамида показана в центре. Ионы кальция - красные шарики. Рис. 2. Распределение водородных связей (пунктирные линии) во внутренней полости обелина (A) и Ca2+-разряженного обелина (B). Видно, что после реакции водородная связь, формируемая Tyr138 с N1 атомом целентеразина (А), замещается водородной связью с молекулой воды W2 (В).

Распределение водородных связей

Рис. 2. Распределение водородных связей (пунктирные линии) во внутренней полости обелина (A) и Ca2+-разряженного обелина (B). Видно, что после реакции водородная связь, формируемая Tyr138 с N1 атомом целентеразина (А), замещается водородной связью с молекулой воды W2 (В).

При дополнительной поддержке Программы Президиума РАН и СО РАН "Молекулярная и клеточная биология" (грант "Молекулярные механизмы образования эмиттера в биолюминесцентных реакциях различных организмов"), гранта РФФИ 02-04-49419. Руководитель работ: зав. лабораторией фотобиологии, к.б.н. Е.С. Высоцкий, тел. 3912-49-44-30 Кристаллическая структура решена совместно с Университетом штата Джорджия, США.

По проекту "Исследование структурнофункциональной организации клеточной системы синтеза биополимеров полигидроксиалканоатов (ПГА) для контролируемого синтеза новых материалов и получения конструкций и препаратов медицинского назначения нового поколения". Рег. номер 0120.0 404601

В Институте биофизики СО РАН разработана технология конструирования систем контролируемой доставки лекарственных средств с использованием полимерного резорбируемого матрикса из полигидроксиалканоатов в виде микросфер. Показана высокая противораковая эффективность разработанной экспериментальной формы высокотоксичного цитостатического препарата рубомицина на лабораторных животных с экспериментальной формой карциномы Эрлиха.

В Институте биофизики СО РАН разработана технология конструирования систем контролируемой доставки лекарственных средств (в англоязычной литературе ("drug delivery systems") с использованием полимерного резорбируемого матрикса. Получены микросферы размером от 2-3 до 25 мкм, нагруженные высокотоксичным противораковым антибиотиком антрациклинового ряда рубомицином (Рис. 3). Исследована кинетика ликвации препарата in vitro и на лабораторных животных и показано, что скорость выхода рубомицина из микросфер зависит от их структуры и нагруженности препаратом и в целом имеет длительную динамику (до 10 и более суток). На белых мышах с экспериментальной формой карциномы Эрлиха, которым внутрибрюшинно была введена суспензия раковых клеток в концентрации 5 х 103 с одновременным введением депонированного рубомицина в виде микросфер, показана высокая противораковая эффективность разработанной формы. На сроке 60 суток выживаемость животных в экспериментальной группе составила 80 % относительно 6 % - в контроле (Рис. 4).

(Гос. рег. 0120.0 404601, д.б.н. Т.Г. Волова, Лаб. хемоавтотрофного биосинтеза ИБФ СО РАН, совместно с ИФ СО РАН, Красноярским стоматологическим центром, Кардиологическим центром Красноярской краевой клинической больницы № 1, НИИ трансплантологии и искусственных органов МЗ РФ, Гематологическим научным центром РАМН).
Микрофотографии полимерных микросфер

Рис. 3 Микрофотографии полимерных микросфер, полученных по технологии "испарение растворителя".

Динамика выживаемости лабораторных животных

Рис. 4. Динамика выживаемости лабораторных животных с экспериментальной формой карциномы Эрлиха: 1- контрольная группа, 2- экспериментальная группа (животные, получившие однократно 1, 86 мг пролонгированного рубомицина

(Гос. рег. 0120.0 404601, д.б.н. Т.Г. Волова, Лаб. хемоавтотрофного биосинтеза ИБФ СО РАН, совместно с ИФ СО РАН, Красноярским стоматологическим центром, Кардиологическим центром Красноярской краевой клинической больницы № 1, НИИ трансплантологии и искусственных органов МЗ РФ, Гематологическим научным центром РАМН).

По проекту "Особенности миграции биологически активных веществ и элементов природного и антропогенного происхождения в трофической цепи "продуцент - консумент" в водных экосистемах бассейна Енисея (на примере жирных кислот, серы и америция-241)" Рег. номер 0120.0 404602

Методом ПЦР фрагментов 16S rРНК с универсальными бактериальными праймерами и последующим анализом с помощью DGGE проанализирована структура видового разнообразия и пространственного распределения доминирующих форм бактерий в зонах хемоклина озер Шира и Шунет. В хемоклине озера Шунет выявлено 7 неидентифицированных доминирующих бактериальных форм, условно обозначенных как A,B,C,D,E,F,G (Рис. 5). Обнаружено четкое пространственное разделение доминирующих форм бактерий по вертикали вдоль градиента редокс-потенциала, а также качественное изменение видового состава хемоклина оз. Шунет на протяжении исследованного периода времени - с мая по сентябрь. В бактериальном сообществе хемоклина озера Шира видны явные отличия от такового в озере Шунет: в Шира обнаружено только два доминирующих вида, E и G, причем оба этих вида входят в число доминирующих и в Шунете.
PCR/DGGE - анализ фрагментов 16S rРНК бактериальных сообществ хемоклина озер

Рис. 5. PCR/DGGE - анализ фрагментов 16S rРНК бактериальных сообществ хемоклина озер Шира и Шунет. Обозначения дорожек вверху: М - микроаэрофильная зона (присутствуют следы кислорода), R - редокс-зона (нулевые концентрации кислорода и сероводорода), S1, S2, S3 - сероводородная зона, с увеличением номера глубина увеличивается на 5 см. Для всех серий Шунета, кроме мая, интервал глубины между соседними дорожками составляет 5 см. Для серии "Шунет 25.05.2005" различие между M и R составляет 15 см, между остальными - 5 см. Глубина во всех сериях возрастает справа налево. Дорожка для Шира получена из образца, соответствующего середине "розового" слоя со следами сероводорода. Внизу дорожек - номера шприцов пробоотборника (необходимы для точной идентификации образцов при различных анализах). (член-корр. РАН А.Г. Дегерменджи, к.ф.-м.н. Д.Ю. Рогозин)

По проекту "Биотехнология рационального использования природных ресурсов: исследование структурно-функциональной организации и динамики микробных популяций, окисляющих моно- и дисульфиды восстановленных руд, содержащих благородные металлы". Рег. номер 0120.0 404603

Показано, что окисление ацидофильными бактериями сульфидных минералов, которым сопутствует золото, идет в несовпадающих областях значений окислительно-восстановительного потенциала (Рис. 6). Это открывает путь к их селективному окислению и значительному уменьшению продолжительности процессов бактериальной переработки стратегического минерального сырья. (Гос. рег. 0120.0 404603, д.ф.-м.н. Ю.Л. Гуревич, лаб. Экологической биотехнологии ИБФ СО РАН).
Зависимость скорости окисления сульфидных концентратов от окислительно-восстановительного потенциала среды

Рис. 6. Зависимость скорости окисления сульфидных концентратов от окислительно-восстановительного потенциала среды (основные минералы: 1 - пирротин, 2 - арсенопирит)

По проекту "Оценка пределов устойчивости биосферы с помощью минимальных теоретических и экспериментальных моделей, согласованных с данными глобальных наблюдений, включая спутниковые". Рег. номер 0120.0 404599

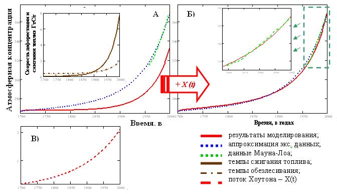
Для увеличения дистанции и обоснованности прогноза глобальной динамики углерода требуется увеличение периода верификации минимальной модели биосферы. Увеличение дистанции прогноза требует учета вклада океана в глобальную динамику углерода, что было сделано в объединенной (суша-океан) модели. Начало периода верификации модели совпадает с началом промышленной революции 1700 года, когда было нарушено стационарное состояние углеродного цикла биосферы.

Результаты верификации объединённой многолетней модели, основанной только на данных о темпах роста сжигания топлив и обезлесивания, начиная с 1700 года, расходились с экспериментальными данными о росте концентрации углекислого газа в атмосфере (рис. 7А). Темпов сжигания ископаемых топлив оказалось недостаточно, чтобы обеспечить наблюдаемую атмосферную динамику концентрации углекислого газа. Для того чтобы привести в соответствие модельные и экспериментальные данные, требовался ещё один поток X(t) углекислого газа (рис. 7В). Величина этого потока согласуется с существующими оценками, так называемого "потока Хоутона" (~2 ГтС/г в настоящее время) (IPCC. Изменение климата, 2001; Houghton, 2002), связанного с изменением типа и способов землепользования. Введение этого потока позволило добиться хорошего соответствия модельной динамики данным наблюдения с 1700 года по наши дни (рис. 7Б).

Следует заметить, что эксперты IPCC, стараясь соблюсти баланс потоков углерода в глобальном цикле, посчитали необходимым компенсировать "поток Хоутона" неизвестным стоком в наземные экосистемы. Но как показывает данная модель, во введении неизвестного стока нет никакой необходимости.

Гос. рег. № 0120.0404599, координатор проекта член-корр. РАН А.Г.Дегерменджи, лаборатория теоретической биофизики, д.ф.- м.н. С.И.Барцев; лаборатория экологической информатики, д.т.н. А.П.Шевырногов).
Сравнение результатов работы

Рис. 7. Сравнение результатов работы модели: A) модель, учитывающая только сжигание топлив и обезлесивание; Б) модель, дополнительно учитывающая неопределённый поток углерода - X(t), В) Интенсивность "потока Хоутона".